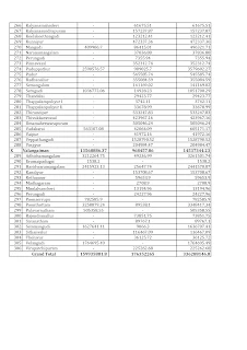
2023-24 ராபி பருவ நெல் மற்றும் எள் பயிருக்கு இழப்பீடு பட்டியல் விவரங்கள்!!
2023-24 Thiruvarur Claim list Block Wise
2023-24 Thiruvarur Claim list Village Wise
2023-24 ராபி பருவ நெல் மற்றும் எள் பயிருக்கு இழப்பீடு பட்டியல் விவரங்கள்!!
2023-24 Thiruvarur Claim list Block Wise
2023-24 Thiruvarur Claim list Village Wise
Lorem ipsum dolor sit amet, consectetur adipiscing elit. Curabitur vulputate auctor mauris, nec venenatis neque iaculis.
0 Comments
உங்கள் கருத்துக்களை பதிவிடுங்கள்...